上海光源线站工程光源性能拓展顺利获得工艺测试
2022年8月12日,国家重大科技基础设施——上海光源线站工程的光源性能拓展部分顺利顺利获得了中国科研实验室条财局组织的工艺测试。
工艺测试专家组由中国科研实验室近代物理研究所、中国科研实验室高能物理研究所、中国科学技术大学、上海交通大学等单位的7位专家组成,夏佳文院士任测试组长,徐刚研究员任测试组副组长。此外,线站工程工艺测试组总组长胡天斗研究员参加了测试,中科院条财局重大设施处樊潇潇视频参加了工艺测试会议。专家组听取了工程加速器分总体负责人姜伯承研究员汇报的光源性能拓展部分建设情况及自测报告,讨论确定了工艺测试内容和测试大纲,进行了现场实测。经现场测试和对以往测试的确认,结果表明光源性能拓展后的储存环加速器总体性能参数,以及超高磁场弯铁及长直线节双腰磁聚焦系统、低温系统、束流测量系统、束流控制系统、插入件系统、轨道快反馈系统、SLEGS光源系统的技术性能参数值均达到或优于设计指标。
上海光源二期线站工程根据光束线站的建设需求对储存环加速器进行了升级改造,即光源性能拓展:
将储存环的第3和第13单元改造成带2.29T超高磁场弯铁的DBA磁聚焦结构单元,增加2段1.89m直线节用以引出更多束线(图1),提高弯铁辐射光子特征能量至18.7keV以满足用户的需求(图2);将第11和16单元的超长直线节改造成双腰低βy直线节(图3),以满足安装两条高性能束线的要求;将第12单元的标准直线节进行局部消色散光学改造,以满足安装超导扭摆器的需要;以上改造均对局部光学函数进行了匹配(图4),以使全环的光学函数得到优化。储存环聚焦结构改造于2019年完成,随后投入日常运行,改造完成后的上海光源在第三代同步辐射光源中继续处于先进水平(表1)。
图1.超高磁场弯铁的DBA磁聚焦结构单元布局图及实景照片
图2. 超高磁场弯铁照片以及常规和超高磁场弯铁的辐射功率谱比较图
图3. 长直线节双腰布局图及实景照片
图4. 改造前后的储存环光学函数(局部)对比图
表1.上海光源储存环主要参数改造前后的对比
研制了13台插入件(表2、图5),包括6台真空内波荡器(IVU)、3台低温永磁波荡器(CPMU)、1台椭圆极化波荡器(EPU)和1组双椭圆极化波荡器(DEPU)、1台多磁极永磁扭摆器(MPW)和1台超导扭摆器(SCW),并陆续安装到储存环上;在此基础上,新建了基于康普顿散射的激光和电子束伽玛源(图6),伽玛能量范围0.4~20 MeV,满足了新光束线站建设的要求。
表2. 上海光源线站工程插入件参数
图5. 各种类型插入件
图6. SLEGS光源系统
新建了束团纯化系统和纯度监测系统,取得10-5量级的高纯净度的高流强单束团束流(图7)来满足时间分辨实验的需求。

图7.束团纯化系统照片和效果图
新建了被动式超导三次谐波腔系统及配套的650W/4.5K液氦低温系统(图8、图9)并已完成调试,实现了24.5mA高流强单束团和200mA束团串混合填充模式的稳定运行,满足了快速成像线站的技术要求。

图8.超导三次谐波腔和束团纯化测量装置测得单束团流强

图9.低温系统(液氮/氦气储罐、4.5K和2K冷箱)
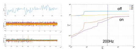
此外,还增加了轨道快反馈系统矫正铁数量,提高轨道快反馈系统的抑制带宽和抑制效果(图10);升级改造了横向束流反馈系统,实现了混合填充模式逐束团反馈,增加了系统动态范围到31db。

图10.轨道快反馈系统(左图参与快轨道反馈系统的轨道稳定性(快轨道反馈系统8小时工作);右图束流轨道噪音积分谱(FOFB打开/关闭))
上海光源线站工程于2016年11月动工建设,在工程经理部的组织下,光源性能拓展部分按进度计划节点推进。2017年7月完成长直线节双腰改造,2018年7月完成第一台插入件(IVU)上线安装,2019年1月低温系统完成全部设备安装,2019年9月完成3和13单元超高磁场二极铁改造,2020年9月完成SLEGS光源系统相互作用腔上线安装,2021年3月完成超导扭摆器(SCW)上线安装,2021年9月完成三次谐波腔上线安装,并在2021年12月调试达到束线要求,实现了24mA单束团+200mA束团串填充模式,支撑快速成像线站完成了工艺测试(新闻链接:上海光源线站工程建设取得新进展)。截止现在,上海光源线站工程已完成了用户支撑实验系统、实验辅助系统、光源性能拓展和11条光束线站(20个实验站)的工艺测试,新建光束线站试运行已支撑用户取得了一批高水平研究成果。
顺利获得加速器性能拓展工程的实施,拓展了光源光子能谱范围,增加了插入件直线节占比,即增加了可建束线的数量,实现了快速成像要求的高流强单束团和束团串的混合填充模式,同时,保持了加速器主要性能参数的先进性,提高了光源运行稳定性。


附件下载: